Причины появления пиковых нагрузок на опорный подшипник ролика
Для достижения максимальной эффективности эксплуатации ленточного конвейера используют, как правило, основной вид опорного элемента – подходящий по конструкции тип роликоопоры. Основной особенностью роликов абсолютно любой конструкции, предназначенных для конвейерных лент, является их подшипниковый узел, с помощью которого ролик закрепляется на оси корпуса. На практике принято рассматривать следующие причины возникновения пиковых нагрузок на подшипники роликоопор
- Нагрузки, появляющиеся вследствие влияния веса перемещаемого груза, веса конвейерной ленты и деталей ролика
- Нагрузки, связанные с техническими ошибками при сборке либо изготовлении ролика
Пиковой нагрузкой является момент такой максимальной нагрузки на подшипник ролика, при котором происходит защемление подшипника.
Правила расчета пиковой нагрузки на роликоопору
В процессе эксплуатации ленточного конвейера важным фактором, влияющим на долговечность его работы является определение того, какую нагрузку может выдержать конвейерный ролик. Для определения данного значения предлагается использовать следующий метод расчета.
Нормальное усилие, положенное на участок:
. где
lon – расстояние между роликоопорами;
lp = Kp×B;
Kp = 0,39 – коэффициент пропорциональности;
B – ширина ленты конвейера;
ρ – объемная масса или насыпная плотность (т/м3);
lr = 0,5(Kв×B - lp);
bc = lp+2×lr×cosα;
KB – коэффициент использования ширины ленты, так как:
lp = Kp×B, то lr = 0,5×B×(Kв - Kp);
Kв = 0,9 - 0,05/B;
α = 20°
φH = 0,35×φ – угол насыпки груза в движении ленты;
φ – угол насыпки в покое (ищется по таблице).
На каждый из боковых наклонных участков ленты длинной lon усилие будет:

ξ – коэффициент бокового давления, 
ƒ – коэффициент внутреннего трения, по таблице он равен 0,9;
ξ = 0,18/0,9 = 0,2.
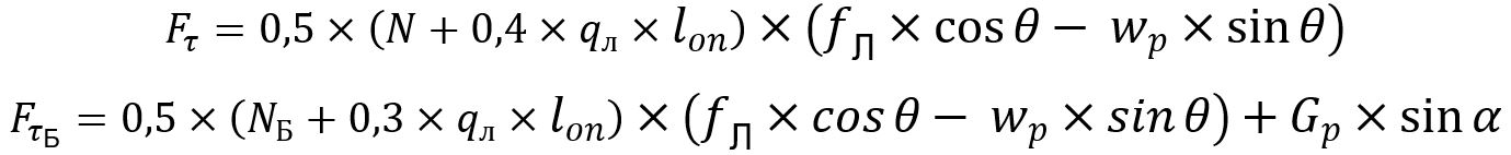
Осевая нагрузка на подшипники равна:

N, NB – сила давления на соответствующий ролик;
ƒл – коэффициент трения ленты об ролик, ƒ ≈ 0,3;
wρ = 0,05 – коэффициент сопротивления вращения ролика;
θ – угол перекоса горизонтального ролика опоры;
θдоп = 0°8` работы конвейера;
Кэ = 1;
Gρ – вес вращающихся частей ролика;
qл = погонный вес ленты = m×B×q, m масса 1 м2 ленты.
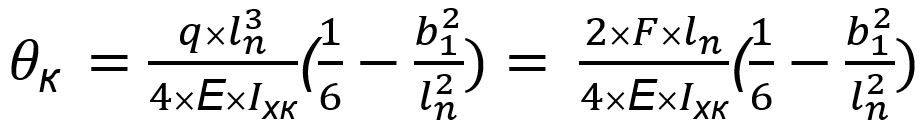
Радиальная нагрузка на подшипник горизонтального и нижний подшипник бокового ролика равны:

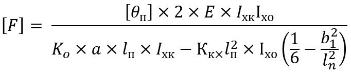
Угол поворота оси под подшипниками для горизонтального ролика: 
E - модуль упругости материала оси;
IП – растояние между опорами;
IХО = 0,05×d2 – момент инерции оси под подшипником.
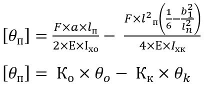
Угол поворота корпуса посередине подшипника:

b1 – расстояние от центра подшипника до краев корпуса;
IХК – момент инерции обейки по средней части = 0,05D4(1-α4);
α = DB/D – отношение диаметра обейки внутреннего к наружному;
q = 2×F / ln;
[θП] = θO - θk;
[θП] – относительный угол поворота подшипника.

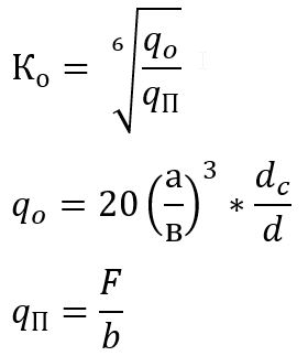
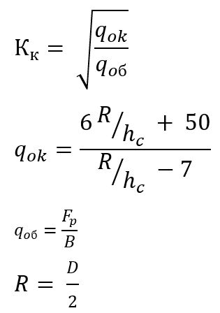
КO – коэффициент, учитывающий различие принятой удельной нагрузки от расчетной;
КK – коэффициент, учитывающий толщину стенки и влияние ступиц.


hc – толщина обечайки корпуса;
B – длина обечайки корпуса;
Fρ = 2×F;

Коментарі 12 коментарів