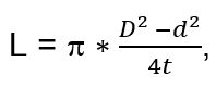
В Интернет можно найти довольно много специализированных онлайн-калькуляторов, с помощью которых можно определить длину, вес, толщину и диаметр конвейерной ленты в рулоне, задав несколько исходных параметров. Расчет длины конвейерной ленты в рулоне также можно вычислить самостоятельно, при некоторых упрощениях формула выглядит следующим образом:

где
L – длина конвейерной ленты;
D – наружный диаметр рулона;
d – внутренний диаметр втулки;
t – толщина материала.
Данная формула поможет Вам рассчитать длину необходимого рулона транспортерной ленты, не прибегая к процессу размотки и измерения ленты рулеткой.
Для покупателя крайне важно знать длину транспортерной ленты в рулоне, чтобы правильно рассчитать дальнейший ее расход во время эксплуатации. Также покупателю важно самому определить длину конвейерной ленты (воспользовавшись онлайн - калькулятором или же с помощью выше приведенной формулы), чтобы не быть обманутыми недобросовестными продавцами и самим убедиться с точным метражом покупаемой Вами транспортерной ленты.
Коментарі 12 коментарів